Доклад на Президиуме РАН 27 октября 2009 г.
Опубликован в книге Л. Б. Окуня «О движении материи»
1.1. Аннотация. Законы теории относительности и квантовой механики, согласно которым происходит движение и взаимодействие элементарных частиц материи, предопределяют формирование и появление закономерностей широчайшего круга явлений, изучаемых различными естественными науками. Эти законы лежат в основе современных высоких технологий и во многом определяют состояние и развитие нашей цивилизации. Поэтому знакомство с основами фундаментальной физики необходимо не только студентам, но и школьникам. Активное владение основными знаниями об устройстве мира необходимо вступающему в жизнь человеку для того чтобы найти своё место в этом мире и успешно продолжать обучение.
1.2. В чём основная трудность этого доклада. Он адресован одновременно и специалистам в области физики элементарных частиц, и гораздо более широкой аудитории: физикам, не занимающимся элементарным частицами, математикам, химикам, биологам, энергетикам, экономистам, философам, лингвистам,... Чтобы быть достаточно точным, я должен пользоваться терминами и формулами фундаментальной физики. Чтобы быть понятым, я должен постоянно пояснять эти термины и формулы. Если физика элементарных частиц не является Вашей специальностью, прочтите сначала только те разделы, заглавия которых не помечены звёздочками. Потом пытайтесь читать разделы с одной звёздочкой *, двумя **, и, наконец, тремя ***. О большинстве разделов без звёздочек я успел рассказать во время доклада, а на остальные не было времени.
1.3. Физика элементарных частиц. Физика элементарных частиц представляет собой фундамент всех естественных наук. Она изучает мельчайшие частицы материи и основные закономерности их движений и взаимодействий. В конечном счёте именно эти закономерности и определяют поведение всех объ ектов на Земле и на небе. Физика элементарных частиц имеет дело с такими фундаментальными понятиями как пространство и время; материя; энергия, импульс и масса; спин. (Большинство читателей имеют представление о пространстве и времени, возможно слышали о связи массы и энергии и не представляют при чём тут импульс, и вряд ли догадываются о важнейшей роли спина в физике. О том, что называть материей, не могут пока договориться между собой даже эксперты.) Физика элементарных частиц была создана в XX веке. Её создание неразрывно связано с созданием двух величайших теорий в истории человечества: теории относительности и квантовой механики. Ключевыми константами этих теорий являются скорость света c и константа Планка h.
1.4. Теория относительности. Специальная теория относительности, возникшая в начале XX века, завершила синтез целого ряда наук, изучавших такие классические явления, как электричество, магнетизм и оптика, создав механику при скоростях тел, сравнимых со скоростью света. (Классическая нерелятивистская механика Ньютона имела дело со скоростями v<<c.) Затем в 1915 г. была создана общая теория относительности, которая была призвана описать гравитационные взаимодействия, учитывая конечность скорости света c.
1.5. Квантовая механика. Квантовая механика, созданная в 1920-х годах, объяснила строение и свойства атомов, исходя из дуальных корпускулярно-волновых свойств электронов. Она объяснила огромный круг химических явлений, связанных с взаимодействием атомов и молекул. И позволила описать процессы испускания и поглощения ими света. Понять информацию, которую несёт нам свет Солнца и звёзд.
1.6. Квантовая теория поля. Объединение теории относительности и квантовой механики привело к созданию квантовой теории поля, позволяющей с высокой степенью точности описать важнейшие свойства материи. Квантовая теория поля, разумеется, слишком сложна, чтобы её можно было объяснить школьникам. Но в середине XX века в ней возник наглядный язык фейнмановских диаграмм, который радикально упрощает понимание многих аспектов квантовой теории поля. Одна из основных целей этого доклада — показать, как с помощью фейнмановских диаграмм можно просто понять широчайший круг явлений. При этом я буду более детально останавливаться на вопросах, которые известны далеко не всем экспертам по квантовой теории поля (например, о связи классической и квантовой гравитации), и лишь скупо очерчу вопросы, широко обсуждаемые в научно-популярной литературе.
1.7. Тождественность элементарных частиц. Элементарными частицами называют мельчайшие неделимые частицы материи, из которых построен весь мир. Самым удивительнейшим свойством, отличающим эти частицы от обычных не элементарных частиц, например, песчинок или бусинок, является то, что все элементарные частицы одного сорта, например, все электроны во Вселенной абсолютно(!) одинаковы — тождественны. А как следствие, тождественны друг другу и их простейшие связанные состояния — атомы и простейшие молекулы.
1.8. Шесть элементарных частиц. Чтобы понять основные процессы, происходящие на Земле и на Солнце, в первом приближении достаточно понимать процессы, в которых участвуют шесть частиц: электрон e, протон p, нейтрон n и электронное нейтрино νe, а также фотон γ и гравитон g̃. Первые четыре частицы имеют спин 1/2, спин фотона равен 1, а гравитона 2. (Частицы с целым спином называют бозонами, частицы с полуцелым спином называют фермионами. Более подробно о спине будет сказано ниже.) Протоны и нейтроны обычно называют нуклонами, поскольку из них построены атомные ядра, а ядро по-английски nucleus. Электрон и нейтрино называют лептонами. Они не обладают сильными ядерными взаимодействиями.
Из-за очень слабого взаимодействия гравитонов наблюдать отдельные гравитоны невозможно, но именно посредством этих частиц осуществляется в природе гравитация. Подобно тому, как посредством фотонов осуществляются электромагнитные взаимодействия.
1.9. Античастицы. У электрона, протона и нейтрона есть так называемые античастицы: позитрон, антипротон и антинейтрон. В состав обычного вещества они не входят, так как встречаясь с соответствующими частицами, вступают с ними в реакции взаимного уничтожения — аннигиляции. Так, электрон и позитрон аннигилируют в два или три фотона. Фотон и гравитон являются истинно нейтральными частицами: они совпадают со своими античастицами. Является ли истинно нейтральной частицей нейтрино, пока неизвестно.
1.10. Нуклоны и кварки. В середине XX века выяснилось, что сами нуклоны состоят из более элементарных частиц — кварков двух типов, которые обозначают u и d: p = uud, n = ddu. Взаимодействие между кварками осуществляется глюонами. Антинуклоны состоят из антикварков.
1.11. Три поколения фермионов. Наряду с u, d, e, νe были открыты и изучены две другие группы (или, как говорят, поколения) кварков и лептонов: c, s, μ, νμ и t, b, τ , ντ . В состав обычного вещества эти частицы не входят, так как они нестабильны и быстро распадаются на более лёгкие частицы первого поколения. Но они играли важную роль в первые мгновения существования Вселенной.
Для ещё более полного и глубокого понимания природы нужно ещё больше частиц с ещё более необычными свойствами. Но, возможно, в дальнейшем всё это разнообразие удастся свести к нескольким простым и прекрасным сущностям.
1.12. Адроны. Многочисленное семейство частиц, состоящих из кварков и/или антикварков и глюонов, называют адронами. Все адроны, за исключением нуклонов, нестабильны и поэтому в состав обычного вещества не входят.
Часто адроны тоже относят к элементарным частицам, поскольку их нельзя разбить на свободные кварки и глюоны. (Так поступил и я, отнеся протон и нейтрон к первым шести элементарным частицам.) Если все адроны считать элементарными, то число элементарных частиц будет измеряться сотнями.
1.13. Стандартная модель и четыре типа взаимодействий. Как будет разъяснено ниже, перечисленные выше элементарные частицы позволяют в рамках так называемой «Стандартной модели элементарных частиц» описать все известные до сих пор процессы, проистекающие в природе в результате гравитационного, электромагнитного, слабого и сильного взаимодействий. Но для того чтобы понять, как работают первые два из них, достаточно четырёх частиц: фотона, гравитона, электрона и протона. При этом то, что протон состоит из u- и d-кварков и глюонов, оказывается несущественным. Конечно, без слабого и сильного взаимодействий нельзя понять, ни как устроены атомные ядра, ни как работает наше Солнце. Но как устроены атомные оболочки, определяющие все химические свойства элементов, как работает электричество и как устроены галактики, понять можно.
1.14. За пределами познанного. Мы уже сегодня знаем, что частицы и взаимодействия Стандартной модели не исчерпывают сокровищницы природы.
Установлено, что обычные атомы и ионы составляет лишь менее 20% всей материи во Вселенной, а более 80% составляет так называемая тёмная материя, природа которой пока неизвестна. Наиболее распространено мнение, что тёмная материя состоит из суперчастиц. Возможно, что она состоит из зеркальных частиц.
Ещё более поразительным является то, что вся материя, как видимая (светлая), так и тёмная, несёт в себе лишь четверть всей энергии Вселенной. Три четверти принадлежат так называемой тёмной энергии.
1.15. Элементарные частицы «e в степени» фундаментальны. Когда мой учитель Исаак Яковлевич Померанчук хотел подчеркнуть важность какого-либо вопроса, он говорил, что вопрос e в степени важен. Разумеется, большая часть естественных наук, а не только физика элементарных частиц, фундаментальны. Физика конденсированных сред, например, подчиняется фундаментальным законам, которыми можно пользоваться, не выясняя того, как они следуют из законов физики элементарных частиц. Но законы теории относительности и квантовой механики «e в степени фундаментальны» в том смысле, что им не может противоречить ни один из менее общих законов.
1.16. Основные законы. Все процессы в природе происходят в результате локальных взаимодействий и движений (распространений) элементарных частиц. Основные законы, управляющие этими движениями и взаимодействиями, очень необычны и очень просты. Они основаны на понятии симметрии и принципе, что всё, что не противоречит симметрии, может и должно происходить. Ниже мы, используя язык фейнмановских диаграмм, проследим, как это реализуется в гравитационном, электромагнитном, слабом и сильном взаимодействиях частиц.
2.1. О цивилизации и культуре. Иностранный член РАН Валентин Телегди (1922–2006) пояснял: «Если WC (ватерклозет) — это цивилизация, то умение пользоваться им — это культура».
Сотрудник ИТЭФ А. А. Абрикосов мл. написал мне недавно: «Одна из целей Вашего доклада — убедить высокую аудиторию в необходимости шире преподавать современную физику. Если так, то возможно, стоило бы привести несколько бытовых примеров. Я имею в виду следующее:
Мы живём в мире, который даже на бытовом уровне немыслим без квантовой механики (КМ) и теории относительности (ТО). Сотовые телефоны, компьютеры, вся современная электроника, не говоря про светодиодные фонари, полупроводниковые лазеры (включая указки), ЖК-дисплеи — это существенно квантовые приборы. Объяснить, как они работают, невозможно без основных понятий КМ. А как их объяснишь, не упоминая о туннелировании?
Второй пример, возможно, знаю от Вас. Спутниковые навигаторы стоят уже в каждой 10-й машине. Точность синхронизации часов в спутниковой сети не меньше, чем 10−8 (это отвечает погрешности порядка метра в локализации объекта на поверхности Земли). Подобная точность требует учитывать поправки ТО к ходу часов на движущемся спутнике. Говорят, инженеры не могли в это поверить, поэтому первые приборы имели двойную программу: с и без учёта поправок. Как выяснилось, первая программа работает лучше. Вот Вам проверка теории относительности на бытовом уровне.
Разумеется, болтать по телефону, ездить на автомобиле и стучать по клавишам компьютера можно и без высокой науки. Но едва ли академики должны призывать не учить географию, ибо «извозчики есть».
А то школьникам, а потом и студентам пять лет талдычат про материальные точки и галилеевскую относительность, и вдруг ни с того, ни с сего заявляют, что это «не совсем правда».
Перестроиться с наглядного ньютоновского мира на квантовый даже на физтехе трудно. Ваш, AAA».
2.2. О фундаментальной физике и образовании. К сожалению, современная система образования отстала от современной фундаментальной физики на целый век. И большинство людей (в том числе и большинство научных работников) не имеют представления о той удивительно ясной и простой картине (карте) мира, которую создала физика элементарных частиц. Эта карта даёт возможность гораздо легче ориентироваться во всех естественных науках. Цель моего доклада — убедить вас в том, что некоторые элементы (понятия) физики элементарных частиц, теории относительности и квантовой теории могут и должны стать основой преподавания всех естественнонаучных предметов не только в высшей, но и в средней и даже в начальной школе. Ведь фундаментально новые понятия легче всего осваиваются именно в детском возрасте. Ребёнок легко овладевает языком, осваивается с мобильным телефоном. Многие дети в считанные секунды возвращают кубик Рубика в исходное состояние, а мне и суток не хватит.
Чтобы в дальнейшем не было неприятных сюрпризов, закладывать адекватное мировосприятие надо в детском саду. Константы c и h должны стать для детей инструментами познания.
2.3. О математике. Математика — царица и служанка всех наук — безусловно должна служить основным инструментом познания. Она даёт такие основные понятия, как истина, красота, симметрия, порядок. Понятия о нуле и бесконечности. Математика учит думать и считать. Фундаментальная физика немыслима без математики. Образование немыслимо без математики. Конечно, изучать теорию групп в школе, может быть, и рано, но научить ценить истину, красоту, симметрию и порядок (а заодно и некоторый беспорядок) необходимо.
Очень важно понимание перехода от вещественных (реальных) чисел (простых, рациональных, иррациональных) к мнимым и комплексным. Изучать гиперкомплексные числа (кватернионы и октонионы) должны, наверное, только те студенты, которые хотят работать в области математики и теоретической физики. В своей работе я, например, никогда не использовал октонионы. Но я знаю, что они упрощают понимание самой многообещающей, по мнению многих физиков-теоретиков, исключительной группы симметрии E8.
2.4. О мировоззрении и естественных науках. Представление об основных законах, управляющих миром, необходимо во всех естественных науках. Конечно, физика твёрдого тела, химия, биология, науки о Земле, астрономия имеют свои специфические понятия, методы, проблемы. Но очень важно иметь общую карту мира и понимание того, что на этой карте есть много белых пятен неизведанного. Очень важно понимание того, что наука это не окостеневшая догма, а живой процесс приближения к истине во множестве точек карты мира. Приближение к истине — асимптотический процесс.
2.5. Об истинном и вульгарном редукционизме. Представление о том, что более сложные конструкции в природе состоят из менее сложных конструкций и, в конечном счёте, из простейших элементов, принято называть редукционизмом. В этом смысле то, в чём я пытаюсь Вас убедить, это редукционизм. Но абсолютно недопустим вульгарный редукционизм, претендующий на то, что все науки могут быть сведены к физике элементарных частиц. На каждом всё более высоком уровне сложности формируются и возникают (emerge) свои закономерности. Чтобы быть хорошим биологом, знать физику элементарных частиц не нужно. Но понимать её место и роль в системе наук, понимать узловую роль констант c и h необходимо. Ведь наука в целом это — единый организм.
2.6. О гуманитарных и общественных науках. Общее представление об устройстве мира очень важно и для экономики, и для истории, и для когнитивных наук, таких, как науки о языке, и для философии. И наоборот — эти науки крайне важны для самой фундаментальной физики, которая постоянно уточняет свои основополагающие понятия. Это будет видно из рассмотрения теории относительности, к которому я сейчас перейду. Особо скажу о науках юридических, исключительно важных для процветания (не говоря уже о выживании) естественных наук. Я убеждён в том, что общественные законы не должны противоречить фундаментальным законам природы. Законы человеческие не должны противоречить Божественным Законам Природы.
2.7. Микро-, Макро-, Космо-. Наш обычный мир больших, но не гигантских, вещей принято называть макромиром. Мир небесных объектов можно назвать космомиром, а мир атомных и субатомных частиц называют микромиром. (Поскольку размеры атомов порядка 10−10 м, то под микромиром подразумевают объекты как минимум на 4, а то и на 10 порядков меньшие, чем микрометр, и на 1–7 порядков меньшие, чем нанометр. Модная область нано расположена по дороге от микро к макро.) В XX веке была построена так называемая Стандартная модель элементарных частиц, которая позволяет просто и наглядно понимать многие закономерности макро и космо на основе закономерностей микро.
2.8. Наши модели. Модели в теоретической физике строятся путём отбрасывания несущественных обстоятельств. Так, например, в атомной и ядерной физике гравитационные взаимодействия частиц пренебрежимо малы, и их можно не принимать во внимание. Такая модель мира вписывается в специальную теорию относительности. В этой модели есть атомы, молекулы, конденсированные тела,... ускорители и коллайдеры, но нет Солнца и звёзд.
Такая модель наверняка будет неправильна на очень больших масштабах, где существенна гравитация.
Конечно, для существования ЦЕРН необходимо существование Земли (и, следовательно, гравитации), но для понимания подавляющего большинства экспериментов, ведущихся в ЦЕРН (кроме поисков на коллайдере микроскопических «чёрных дырочек»), гравитация несущественна.
2.9. Порядки величин. Одна из трудностей в понимании свойств элементарных частиц связана с тем, что они очень маленькие и их очень много. В ложке воды огромное количество атомов (порядка 1023). Не намного меньше и число звёзд в видимой части Вселенной. Больших чисел не надо бояться. Ведь обращаться с ними несложно, так как умножение чисел сводится в основном к сложению их порядков: 1 = 100, 10 = 101, 100 = 102. Умножим 10 на 100, получим 101+2 = 103 = 1000.
2.10. Капля масла. Если каплю масла объёмом 1 миллилитр капнуть на поверхность воды, то она расплывётся в радужное пятно площадью порядка нескольких квадратных метров и толщиной порядка сотни нанометров. Это всего на три порядка больше размера атома. А толщина плёнки мыльного пузыря в самых тонких местах порядка размеров молекул.
2.11. Джоули. Обычная батарейка АА имеет напряжение 1,5 вольта (В) и содержит запас электрической энергии 104 джоулей (Дж). Напомню, что 1 Дж = 1 кулон × 1 В, а также, что 1 Дж = кг м2/с2 и что ускорение земного притяжения примерно 10 м/с2. Так что 1 джоуль позволяет поднять 1 килограмм на высоту 10 см, а 104 Дж поднимут 100 кг на 10 метров. Столько энергии потребляет лифт, чтобы поднять школьника на десятый этаж. Вот сколько энергии в батарейке.
2.12. Электронвольты. Единицей энергии в физике элементарных частиц является электронвольт (эВ): энергию 1 эВ приобретает 1 электрон, прошедший разность потенциалов 1 вольт. Поскольку в одном кулоне 6,24 · 1018 электронов, то 1 Дж= 6,24 ·× 1018 эВ.
1 кэВ =103 эВ, 1 МэВ =106 эВ, 1 ГэВ =109 эВ, 1 ТэВ =1012 эВ.
Напомню, что энергия одного протона в Большом адронном коллайдере ЦЕРН должна быть равна 7 ТэВ.
3.1. Системы отсчёта. Все наши опыты мы описываем в тех или иных системах отсчёта. Системой отсчёта может быть лаборатория, поезд, спутник Земли, центр галактики... . Системой отсчёта может быть и любая частица, летящая, например, в ускорителе частиц. Так как все эти системы движутся друг относительно друга, то не все опыты будут в них выглядеть одинаково. Кроме того, в них различно и гравитационное воздействие ближайших массивных тел. Именно учёт этих различий составляет основное содержание теории относительности.
3.2. Корабль Галилея. Галилей сформулировал принцип относительности, красочно описав всевозможные опыты в каюте плавно плывущего корабля. Если окна занавешены, невозможно с помощью этих опытов выяснить, с какой скоростью движется корабль и не стоит ли он. Эйнштейн добавил в эту каюту опыты с конечной скоростью света. Если не смотреть в окно, узнать скорость корабля нельзя. Но если посмотреть на берег, то можно.
3.3. Далёкие звёзды*. Разумно выделить такую систему отсчёта, относительно которой люди могли бы формулировать результаты своих опытов, независимо от того, где они находятся. За такую универсальную систему отсчёта уже давно принимают систему, в которой неподвижны далёкие звёзды. А сравнительно недавно (полвека тому назад) были открыты ещё более далёкие квазары и выяснилось, что в этой системе должен быть изотропен реликтовый микроволновой фон.
3.4. В поисках универсальной системы отсчёта*. По существу, вся история астрономии — это продвижение ко всё более универсальной системе отсчёта. От антропоцентрической, где в центре человек, к геоцентрической, где в центре покоящаяся Земля (Птолемей, 87–165), к гелиоцентрической, где в центре покоится Солнце (Коперник, 1473–1543), к галацентрической, где покоится центр нашей Галактики, к небулярной, где покоится система туманностей — скоплений галактик, к фоновой, где изотропен космический микроволновой фон. Существенно, однако, что скорости этих систем отсчёта малы по сравнению со скоростью света.
3.5. Коперник, Кеплер, Галилей, Ньютон*. В книге Николая Коперника «О вращениях небесных сфер», вышедшей в 1543 г., говорится: «Все замечаемые у Солнца движения не свойственны ему, но принадлежат Земле и нашей сфере, вместе с которой мы вращаемся вокруг Солнца, как и всякая другая планета; таким образом, Земля имеет несколько движений. Кажущиеся прямые и обратные движения планет принадлежат не им, но Земле. Таким образом, одно это её движение достаточно для объяснения большого числа видимых в небе неравномерностей».
Коперник и Кеплер (1571–1630) дали простое феноменологическое описание кинематики этих движений. Галилей (1564–1642) и Ньютон (1643–1727) объяснили их динамику.
3.6. Универсальные пространство и время*. Пространственные координаты и время, отнесённые к универсальной системе отсчёта, можно назвать универсальными или абсолютными в полнейшей гармонии с теорией относительности. Важно подчеркнуть только, что выбор этой системы производится и согласовывается локальными наблюдателями. Любая система отсчёта, поступательно движущаяся относительно универсальной системы, является инерциальной: в ней свободное движение равномерно и прямолинейно.
3.7. «Теория инвариантности»*. Заметим, что и Альберт Эйнштейн (1879–1955), и Макс Планк (1858–1947) (который ввёл в 1907 г. термин «теория относительности», назвав им теорию, выдвинутую Эйнштейном в 1905 г.) считали, что термин «теория инвариантности» мог бы более точно отражать ее суть. Но, по-видимому, в начале XX века важней было подчеркнуть относительность таких понятий, как время и одновременность в равноправных инерциальных системах отсчёта, чем выделять одну из этих систем. Важней было, что при занавешенных окнах каюты Галилея выяснить скорость корабля нельзя. Но сейчас пришла пора раздвинуть шторы и посмотреть на берег. При этом, разумеется, все закономерности, установленные при закрытых шторах, останутся незыблемыми.
3.8. Письмо Чиммеру*. В 1921 г. Эйнштейн в письме Э. Чиммеру — автору книги «Философские письма» написал: «Что касается термина «теория относительности», то я признаю, что он неудачен и приводит к философским недоразумениям». Но менять его, по мнению Эйнштейна, уже поздно, в частности, потому, что он широко распространён. Это письмо опубликовано в вышедшем осенью 2009 г. 12 томе 25-томного «Собрания трудов Эйнштейна», издаваемого в Принстоне.
3.9. Максимальная скорость в природе. Ключевой константой теории относительности является скорость света c = 300 000 км/с= 3 × 108 м/с. (Более точно, c = 299 792 458 м/с. И это число лежит теперь в основе определения метра.) Эта скорость является максимальной скоростью распространения любых сигналов в природе. Она на много порядков величин превышает скорости массивных объектов, с которыми мы имеем дело каждодневно. Именно её непривычно большая величина мешает пониманию основного содержания теории относительности. Частицы, движущиеся со скоростями порядка скорости света, называют релятивистскими.
3.10. Энергия, импульс и скорость. Свободное движение частицы характеризуется энергией частицы E и её импульсом p. Согласно теории относительности, скорость частицы v определяется формулой
Одна из основных причин терминологической путаницы, о которой говорится в разд. 3.14, заключается в том, что при создании теории относительности пытались сохранить ньютоновскую связь между импульсом и скоростью p = mv, что противоречит теории относительности.
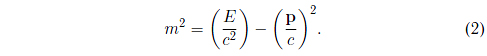
3.11. Масса. Масса частицы m определяется формулой

В то время как энергия и импульс частицы зависят от системы отсчёта, величина её массы m от системы отсчёта не зависит. Она является инвариантом. Формулы (1) и (2) являются основными в теории относительности.
Как ни странно, первая монография по теории относительности, в которой появилась формула (2), вышла только в 1941 г. Это была «Теории поля» Л. Ландау (1908–1968) и Е. Лифшица (1915–1985). Ни в одном из трудов Эйнштейна я её не нашёл. Нет её и в замечательной книге «Теория относительности» В. Паули (1900–1958), вышедшей в 1921 г. Но релятивистское волновое уравнение, содержащее эту формулу, было в вышедшей в 1930 г. книге «Принципы квантовой механики» П. Дирака (1902–1984), а еще раньше в статьях 1926 г. О. Клейна (1894– 1977) и В. Фока (1898–1974).
3.12. Безмассовый фотон. Если масса частицы равна нулю, т. е. частица является безмассовой, то из формул (1) и (2) следует, что в любой системе отсчета ее скорость равна c. Поскольку масса частицы света — фотона — настолько мала, что ее не удается обнаружить, то принято считать, что она равна нулю и что c — это скорость света.
3.13. Энергия покоя. Если же масса частицы отлична от нуля, то рассмотрим систему отсчёта, в которой свободная частица покоится и у неё v = 0, p = 0. Такую систему отсчёта называют системой покоя частицы, а энергию частицы в этой системе называют энергией покоя и обозначают E0. Из формулы (2) следует, что
Эта формула выражает соотношение между энергией покоя массивной частицы и её массой, открытое Эйнштейном в 1905 г.
3.14. «Самая знаменитая формула». К сожалению, очень часто формулу Эйнштейна записывают в виде «самой знаменитой формулы E = mc2», опуская нулевой индекс у энергии покоя, что приводит к многочисленным недоразумениям и путанице. Ведь эта «знаменитая формула» отождествляет энергию и массу, что противоречит теории относительности вообще и формуле (2) в частности. Из неё вытекает широко распространённое заблуждение, что масса тела, согласно теории относительности, якобы растёт с ростом его скорости. В последние годы Российская академия образования много сделала для того, чтобы рассеять это заблуждение.
3.15. Единица скорости*. В теории относительности, имеющей дело со скоростями, сравнимыми со скоростью света, естественно выбрать c в качестве единицы скорости. Такой выбор упрощает все формулы, поскольку c/c = 1, и в них следует положить c = 1. При этом скорость становится безразмерной величиной, расстояние имеет размерность времени, а масса имеет размерность энергии.
В физике элементарных частиц массы частиц обычно измеряют в электронвольтах — эВ и их производных (см разд. 2.14). Масса электрона порядка 0,5 МэВ, масса протона порядка 1 ГэВ, масса самого тяжёлого кварка порядка 170 ГэВ, а массы нейтрино порядка долей эВ.
3.16. Астрономические расстояния*. В астрономии расстояния измеряют световыми годами. Размеры видимой части Вселенной порядка 14 миллиардов световых лет. Это число производит ещё более сильное впечатление, если сравнить его со временем 10−24 с, за которое свет проходит расстояние порядка размера протона. И во всём этом колоссальном диапазоне работает теория относительности.
3.17. Мир Минковского. В 1908 г. за несколько месяцев до своей безвременной смерти Герман Минковский (1864–1909) пророчески сказал: «Воззрения на пространство и время, которые я намерен перед вами развить, возникли на экспериментально-физической основе. В этом их сила. Их тенденция радикальна. Отныне пространство само по себе и время само по себе должны обратиться в фикции, и лишь некоторый вид соединения обоих должен еще сохранить самостоятельность».
Спустя столетие мы знаем, что время и пространство не превратились в фикции, но идея Минковского позволила очень просто описать движения и взаимодействия частиц материи.
3.18. Четырёхмерный мир*. В единицах, в которых c = 1, особенно красиво выглядит представление о мире Минковского, который объединяет время и трёхмерное пространство в единый четырёхмерный мир. Энергия и импульс объединяются при этом в единый четырёхмерный вектор, а масса в соответствии с уравнением (2) служит псевдоевклидовой длиной этого 4-вектора энергии-импульса p = E, p:
Четырёхмерную траекторию в мире Минковского называют мировой линией, а отдельные точки — мировыми точками.
3.19. Зависимость хода часов от их скорости**. Многочисленные наблюдения указывают на то, что часы идут быстрее всего, когда они покоятся относительно инерциальной системы. Финитное движение в инерциальной системе отсчёта замедляет их ход. Чем быстрей они перемещаются в пространстве, тем медленнее идут во времени. Замедление это абсолютное в универсальной системе отсчёта (см. разд. 3.1–3.8). Его мерой является отношение E/m, которое часто обозначают буквой γ.
3.20. Мюоны в кольцевом ускорителе и в покое**. В существовании этого замедления нагляднее всего можно убедиться, сравнивая времена жизни покоящегося мюона и мюона, вращающегося в кольцевом ускорителе. То обстоятельство, что в ускорителе мюон движется не вполне свободно, а имеет центростремительное ускорение ω2R, где ω — радиальная частота обращения, а R — радиус орбиты, даёт лишь пренебрежимо малую поправку, поскольку E/ω2R = ER >> 1. Движение по окружности, а не по прямой, абсолютно существенно для непосредственного сопоставления вращающегося мюона с покоящимся. Но в том, что касается темпа старения движущегося мюона, дуга окружности достаточно большого радиуса неотличима от прямой. Этот темп определяются отношением E/m. (Подчеркну, что согласно специальной теории относительности, система отсчёта, в которой покоится вращающийся мюон, не инерциальна.)
3.21. Дуга и хорда**. С точки зрения наблюдателя, по- коящегося в инерциальной системе отсчёта, дуга окружности достаточно большого радиуса и её хорда практически неотличимы: движение по дуге почти инерциально. С точки же зрения наблюдателя, покоящегося относительно мюона, летящего по окружности, его движение существенно не инерциально. Ведь его скорость меняет знак за пол-оборота. (Для движущегося наблюдателя далёкие звёзды отнюдь не неподвижны. Вся Вселенная для него асимметрична: звёзды впереди синие, а позади красные. В то время как для нас все они одинаковые — золотистые, потому что скорость солнечной системы мала.) А неинерциальность этого наблюдателя проявляется в том, что созвездия впереди и сзади меняются по мере движения мюона в кольцевом ускорителе. Мы не можем считать покоящегося и движущегося наблюдателей эквивалентными, поскольку первый не испытывает никакого ускорения, а второй, чтобы вернуться к месту встречи, должен испытывать его.
3.22. ОТО**. Физики-теоретики, привыкшие к языку Общей теории относительности (ОТО), настаивают на том, что все системы отсчёта равноправны. Не только инерциальные, но и ускоренные. Что пространство-время само по себе — кривое. При этом гравитационное взаимодействие перестаёт быть таким же физическим взаимодействием, как электромагнитное, слабое и сильное, а становится исключительным проявлением кривого пространства. В результате вся физика для них оказывается как бы расколотой на две части. Если же исходить из того, что ускорение всегда обусловлено взаимодействием, что оно не относительно, а абсолютно, то физика становится единой и простой.
3.23. «Ленком». Употребление слов «относительность» и «релятивизм» в отношении скорости света напоминает название театра «Ленком» или газеты «Московский комсомолец», лишь генеалогически связанных с комсомолом. Таковы языковые парадоксы. Скорость света в пустоте не относительна. Она абсолютна. Просто физикам нужна помощь лингвистов.
4.1. Константа Планка. Если в теории относительности ключевой константой является скорость света c, то в квантовой механике ключевой является константа h = 6,63·10−34 Дж· c, открытая Максом Планком в 1900 г. Физический смысл этой константы станет ясен из последующего изложения. Большей частью в формулах квантовой механики фигурирует так называемая приведённая константа Планка:
ħ = h/2π = 1,05·10−34 Дж × c = 6,58·10−22 МэВ·c.
Во многих явлениях важную роль играет величина ħc = 1,97·10−11 МэВ·см.
4.2. Спин электрона. Начнём с широко известного наивного сравнения атома с планетной системой. Планеты вращаются вокруг Солнца и вокруг собственной оси. Подобно этому, электроны вращаются вокруг ядра и вокруг собственной оси. Вращение электрона по орбите характеризуют орбитальным угловым импульсом L (его часто и не вполне правильно называют орбитальным угловым моментом). Вращение электрона вокруг собственной оси характеризуют собственным угловым импульсом — спином S. Оказалось, что у всех электронов в мире спин равен (1/2)ħ. Для сравнения отметим, что «спин» Земли равен 6·1033 м2·кг/c = 6·1067ħ.
4.3. Атом водорода. На самом деле атом это не планетная система, а электрон не обычная частица, движущаяся по орбите. Электрон, как и все другие элементарные частицы, вовсе не является частицей в том житейском смысле этого слова, который подразумевает, что частица должна двигаться по определённой траектории. В простейшем атоме — атоме водорода, если он находится в своём основном состоянии, т. е. не возбуждён, электрон напоминает скорее сферическое облачко радиусом порядка 0,5·10−10 м. По мере возбуждения атома, электрон переходит во все более высокие состояния, имеющие всё больший размер.
4.4. Квантовые числа электронов. Без учёта спина движение электрона в атоме характеризуют двумя квантовыми числами: главным квантовым числом n и орбитальным квантовым числом l, причём n ≥ l. Если l = 0, то электрон представляет собой сферически симметричное облако. Чем больше n, тем больше размер этого облака. Чем больше l, тем больше движение электрона похоже на движение классической частицы по орбите. Энергия связи электрона, находящегося в атоме водорода на оболочке с квантовым числом n, равна
где α = e2/ħc ≈ 1/137, a e — заряд электрона.
4.5. Многоэлектронные атомы. Спин играет ключевую роль при заполнении электронных оболочек многоэлектронных атомов. Дело в том, что два электрона с одинаково направленным собственным вращением (одинаково направленными спинами) не могут находиться на одной оболочке с данными значениями n и l. Это запрещено так называемым принципом Паули (1900–1958). По существу, принцип Паули определяет периоды Периодической таблицы элементов Менделеева (1834–1907).
4.6. Бозоны и фермионы. Все элементарные частицы обладают спином. Так, спин фотона равен 1 в единицах ħ, спин гравитона равен 2. Частицы с целым спином в единицах ħ получили название бозонов. Частицы с полуцелым спином называют фермионами. Бозоны — коллективисты: «они стремятся все жить в одной комнате», находиться в одном квантовом состоянии. На этом свойстве фотонов основан лазер: все фотоны в лазерном пучке имеют строго одинаковые импульсы. Фермионы же индивидуалисты: «каждому из них нужна отдельная квартира». Это свойство электронов определяет закономерности заполнения электронных оболочек атомов.
4.7. «Квантовые кентавры». Элементарные частицы это как бы квантовые кентавры: получастицы — полуволны. Благодаря своим волновым свойствам квантовые кентавры, в отличие от классических частиц, могут проходить сразу через две щели, создавая в результате интерференционную картину на стоящем позади экране. Все попытки уложить квантовых кентавров в прокрустово ложе понятий классической физики оказались бесплодными.
4.8. Соотношения неопределённости. Константа ħ определяет особенности не только вращательного, но и поступательного движения элементарных частиц. Неопределённости положения и импульса частицы должны удовлетворять так называемым соотношениям неопределённости Гейзенберга (1901–1976), типа

Аналогичное соотношение существует для энергии и времени:
4.9. Квантовая механика. И квантование спина, и соотношения неопределённости являются частными проявлениями общих закономерностей квантовой механики, созданной в 20-х годах XX века. Согласно квантовой механике, любая элементарная частица, например, электрон, это одновременно и элементарная частица, и элементарная (одночастичная) волна. Причём, в отличие от обычной волны, которая является периодическим движением колоссального числа частиц, элементарная волна — это новый, неизвестный ранее вид движения индивидуальной частицы. Элементарная длина волны λ частицы с импульсом p равна λ = h/|p|, а элементарная частота ν, отвечающая энергии E, равна ν = E/h.
4.10. Квантовая теория поля. Итак, сначала мы были вынуждены признать, что частицы могут быть сколь угодно лёгкими и даже безмассовыми, и что их скорости не могут превышать c. Потом мы были вынуждены признать, что частицы вовсе не частицы, а своеобразные гибриды частиц и волн, поведение которых объединяется квантом h. Объединение теории относительности и квантовой механики было произведено Дираком (1902–1984) в 1930 г. и привело к созданию теории, которая получила название квантовая теория поля. Именно эта теория описывает основные свойства материи.
4.11. Единицы, в которых c, ħ = 1. В дальнейшем мы, как правило, будем пользоваться такими единицами, в которых за единицу скорости принята c, а за единицу углового импульса (действия) — ħ. В этих единицах все формулы существенно упрощаются. В них, в частности, размерности энергии, массы и частоты одинаковы. Эти единицы приняты в физике высоких энергий, поскольку в ней существенны квантовые и релятивистские явления. В тех случаях, когда надо подчеркнуть квантовый характер того или иного явления, мы будем явно выписывать ħ. Аналогично будем поступать и с c.
4.12. Эйнштейн и квантовая механика*. Эйнштейн, в известном смысле породив квантовую механику, не примирился с ней. И до конца жизни пытался построить «единую теорию всего» на основе классической теории поля, игнорируя ħ. Эйнштейн верил в классический детерминизм и в недопустимость случайности. Он повторял о Боге: «Он не играет в кости». И не мог примириться с тем, что мгновение распада индивидуальной частицы в принципе предсказать нельзя, хотя среднее время жизни того или иного типа частиц предсказывается в рамках квантовой механики с беспрецедентной точностью. К сожалению, его пристрастия определили взгляды очень многих людей.
5.1. Простейшая диаграмма. Взаимодействия частиц удобно рассматривать с помощью диаграмм, предложенных Ричардом Фейнманом (1918–1988) в 1949 г. На рис. 1 приведена простейшая диаграмма Фейнмана, описывающая взаимодействие электрона и протона путём обмена фотоном.

Стрелки на рисунке указывают направление течения времени для каждой частицы.
5.2. Реальные частицы. Каждому процесс отвечает одна или несколько диаграмм Фейнмана. Внешним линиям на диаграмме соответствуют входящие (до взаимодействия) и выходящие (после взаимодействия) частицы, которые свободны. Их 4-импульсы p удовлетворяют уравнению
Их называют реальными частицами и говорят, что они находятся на массовой поверхности.
5.3. Виртуальные частицы. Внутренние линии диаграмм соответствуют частицам, находящимся в виртуальном состоянии. Для них
Их называют виртуальными частицами и говорят, что они находятся вне массовой поверхности. Распространение виртуальной частицы описывается математической величиной, которую называют пропагатором.
Эта общепринятая терминология может натолкнуть новичка на мысль, что виртуальные частицы менее материальны, чем реальные частицы. В действительности же они в равной степени материальны, но реальные частицы мы воспринимаем как вещество и излучение, а виртуальные — в основном как силовые поля, хотя это различие в значительной степени условно. Важно, что одна и та же частица, например, фотон или электрон, может быть реальной в одних условиях и виртуальной — в других.
5.4. Вершины. Вершины диаграммы описывают локальные акты элементарных взаимодействий между частицами. В каждой вершине 4-импульс сохраняется. Легко видеть, что если в одной вершине встречаются три линии стабильных частиц, то по крайней мере одна из них должна быть виртуальной, т. е. должна находиться вне массовой поверхности: «Боливару не снести троих». (Например, свободный электрон не может испустить свободный фотон и остаться при этом свободным электроном.)
Две реальные частицы взаимодействуют на расстоянии, обмениваясь одной или несколькими виртуальными частицами.
5.5. Распространение. Если о реальных частицах говорят, что они движутся, то о виртуальных частицах говорят, что они распространяются (propagate). Термин «распространение» подчёркивает то обстоятельство, что у виртуальной частицы может быть много траекторий, и может быть, что ни одна из них не является классической, как у виртуального фотона с нулевой энергией и ненулевым импульсом, описывающим статическое кулоновское взаимодействие.
5.6. Античастицы. Замечательным свойством фейнмановских диаграмм является то, что они единым образом описывают как частицы, так и соответствующие античастицы. При этом античастица выглядит, как частица, движущаяся вспять по времени. На рис. 2 приведена диаграмма, изображающая рождение протона и антипротона при аннигиляции электрона и позитрона.

Движение вспять по времени в равной мере применимо и к фермионам, и к бозонам. Оно делает ненужной интерпретацию позитронов как незаполненных состояний в море электронов с отрицательной энергией, к которой прибег Дирак, когда в 1930 г. ввёл понятие античастицы.
5.7. Швингер и диаграммы Фейнмана. Швингер (1918–1994), которому вычислительные трудности были нипочём, диаграмм Фейнмана не любил и несколько свысока писал о них: «Как компьютерный чип в более недавние годы, диаграмма Фейнмана несла вычисления в массы». К сожалению, до самых широких масс, в отличие от чипа, диаграммы Фейнмана не дошли.
5.8. Фейнман и диаграммы Фейнмана. По непонятным причинам диаграммы Фейнмана не дошли даже до знаменитых «Фейнмановских лекций по физике». Я убежден в том, что их необходимо довести до учеников средней школы, объясняя им основные идеи физики элементарных частиц. Это самый простой взгляд на микромир и на мир в целом. Если школьник владеет понятием потенциальной энергии (например, законом Ньютона, или законом Кулона), то диаграммы Фейнмана позволяют ему получать выражение для этой потенциальной энергии.
5.9. Виртуальные частицы и физические силовые поля. Фейнмановские диаграммы — это наиболее простой язык квантовой теории поля. (По крайней мере в тех случаях, когда взаимодействие не очень сильное и можно пользоваться теорией возмущений.) В большинстве книг по квантовой теории поля частицы рассматриваются как квантовые возбуждения полей, что требует знакомства с формализмом вторичного квантования. На языке же диаграмм Фейнмана поля заменяются виртуальными частицами.
Элементарные частицы обладают и корпускулярными, и волновыми свойствами. Причём в реальном состоянии они являются частицами материи, а в виртуальном состоянии они же являются переносчиками сил между материальными объектами. После введения виртуальных частиц понятие силы становится ненужным, а с понятием поля, если с ним не было знакомства раньше, возможно, следует знакомиться после того, как освоено понятие виртуальной частицы.
5.10. Элементарные взаимодействия*. Элементарные акты испускания и поглощения виртуальных частиц (вершины) характеризуются такими константами взаимодействия, как электрический заряд e в случае фотона, слабые заряды e/sin θW в случае W-бозона и e/sin θW cos θW в случае Z-бозона (где θW — угол Вайнберга), цветовой заряд g в случае глюонов, и величина √G в случае гравитона, где G — константа Ньютона. (См. гл. 6–10.) Электромагнитное взаимодействие рассмотрено ниже в гл. 7. Слабое взаимодействие — в гл. 8. Сильное — в гл. 9.
А начнём мы в следующей гл. 6 с гравитационного взаимодействия.
6.1. Гравитоны. Я начну с частиц, которые пока не открыты и наверняка не будут открыты в обозримом будущем. Это частицы гравитационного поля — гравитоны. Не открыты пока не только гравитоны, но и гравитационные волны (и это в то время, как электромагнитные волны буквально пронизывают нашу жизнь). Это обусловлено тем, что при низких энергиях гравитационное взаимодействие очень слабо. Как мы увидим, теория гравитонов позволяет понять все известные свойства гравитационного взаимодействия.
6.2. Обмен гравитонами. На языке диаграмм Фейнмана гравитационное взаимодействие двух тел осуществляется обменом виртуальными гравитонами между составляющими эти тела элементарными частицами. На рис. 3 гравитон испускается частицей с 4-импульсом p1 и поглощается другой частицей с 4-импульсом p2. В силу сохранения 4-импульса, q=p1 − p′1=p′2−p2, где q — 4-импульс гравитона.

Распространение виртуального гравитона (ему, как и любой виртуальной частице, отвечает пропагатор) изображено на рисунке пружинкой.
6.3. Атом водорода в гравитационном поле Земли. На рис. 4 изображена сумма диаграмм, на которых атом водорода с 4-импульсом p1 обменивается гравитонами со всеми атомами Земли, обладающими суммарным 4-импульсом p2. И в этом случае q = p1 − p′1 = p′2 − p2, где q — суммарный 4-импульс виртуальных гравитонов.

6.4. О массе атома. В дальнейшем при рассмотрении гравитационного взаимодействия мы будем пренебрегать массой электрона по сравнению с массой протона, а также пренебрегать разностью масс протона и нейтрона и энергией связи нуклонов в атомных ядрах. Так что масса атома это примерно сумма масс нуклонов в атомном ядре.
6.5. Коэффициент усиления*. Число нуклонов Земли NE ≈ 3,6·1051 равно произведению числа нуклонов в одном грамме земного вещества, т. е. числа Авогадро NA ≈ 6·1023, на массу Земли в граммах ≈ 6·1027. Поэтому диаграмма рис. 4 представляет собой сумму 3,6·1051 диаграмм рис. 3, что отмечено утолщением линий Земли и виртуальных гравитонов на рис. 4. Кроме того, «гравитонная пружина», в отличие от пропагатора одного гравитона, сделана на рис. 4 серой. Она как бы содержит 3,6·1051 гравитонов.
6.6. Яблоко Ньютона в гравитационном поле Земли. На рис. 5 все атомы яблока, обладающие суммарным 4-импульсом p1, взаимодействуют со всеми атомами Земли, обладающими суммарным 4-импульсом p2.
6.7. Число диаграмм*. Напомню, что один грамм обычного вещества содержит NA = 6·1023 нуклонов. Число нуклонов в 100-граммовом яблоке Na = 100NA = 6·1025. Масса Земли 6·1027 г, и следовательно, число нуклонов Земли NE = 3,6 · 1051. Разумеется, утолщение линий на рис. 5 ни в какой мере не отвечает огромному числу нуклонов яблока Na, нуклонов Земли NE и гораздо большему, просто фантастическому числу фейнмановских диаграмм Nd = Na NE = 2,2·1077. Ведь каждый нуклон яблока взаимодействует с каждым нуклоном Земли. Чтобы подчеркнуть колоссальное число диаграмм, пружина на рис. 5 сделана темной.

Хотя взаимодействие гравитона с отдельной элементарной частицей очень мало, сумма диаграмм для всех нуклонов Земли создаёт значительное притяжение, которое мы ощущаем. Универсальная гравитация притягивает Луну к Земле, их обеих к Солнцу, все звёзды в нашей Галактике и все галактики друг к другу.
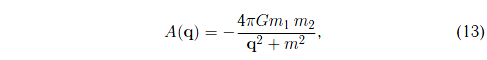
6.8. Фейнмановская амплитуда и её фурье-образ***.
Фейнмановской диаграмме гравитационного взаимодействия двух медленных тел с массами m1 и m2 соответствует фейнмановская амплитуда
где G — константа Ньютона, a q — 3-импульс, переносимый виртуальными гравитонами. (Величина 1/q2, где q — 4-импульс, называется гравитонным пропагатором. В случае медленных тел энергия практически не передается и потому q2 = −q2.)
Чтобы перейти от импульсного пространства к конфигурационному (координатному), надо взять фурье-образ амплитуды A(q)
Величина A(r) даёт потенциальную энергию гравитационного взаимодействия нерелятивистских частиц и определяет движение релятивистской частицы в статическом гравитационном поле.
6.9. Потенциал Ньютона*. Потенциальная энергия двух тел с массой m1 и m2 равна

где G — константа Ньютона, a r — расстояние между телами.
Эта энергия заключена в «пружине» виртуальных гравитонов на рис. 5. Взаимодействие, потенциал которого спадает как 1/r, называется дальнодействующим. Используя фурье-преобразование, можно увидеть, что гравитация — дальнодействующая, потому что гравитон безмассов.
6.10. Потенциал типа потенциала Юкавы**. Действительно, если бы гравитон имел ненулевую массу m, то фейнмановская амплитуда для обмена им имела бы вид

и ей отвечал бы потенциал типа потенциала Юкавы с радиусом действия r ≈ 1/m:

6.11. О потенциальной энергии**. В нерелятивистской механике Ньютона кинетическая энергия частицы зависит от её скорости (импульса), а потенциальная только от её координат, т. е. от положения в пространстве. В релятивистской механике сохранить такое требование нельзя, поскольку само взаимодействие частиц зачастую зависит от их скоростей (импульсов) и, следовательно, от кинетической энергии. Однако для обычных, достаточно слабых гравитационных полей изменение кинетической энергии частицы мало по сравнению с её полной энергией, и поэтому этим изменением можно пренебречь. Полную энергию нерелятивистской частицы в слабом гравитационном поле можно записать в виде ε = Ekin + E0 + U.
6.12. Универсальность гравитации. В отличие от всех других взаимодействий, гравитация обладает замечательным свойством универсальности. Взаимодействие гравитона с любой частицей не зависит от свойств этой частицы, а зависит только от величины энергии, которой частица обладает. Если эта частица медленная, то её энергия покоя E0 = mc2, заключённая в её массе, намного превышает её кинетическую энергию. И потому её гравитационное взаимодействие пропорционально её массе. Но для достаточно быстрой частицы её кинетическая энергия намного больше её массы. В этом случае её гравитационное взаимодействие от массы практически не зависит и пропорционально её кинетической энергии.
6.13. Спин гравитона и универсальность гравитации**. Более точно, испускание гравитона пропорционально не просто энергии, а тензору энергии-импульса частицы. А это, в свою очередь, обусловлено тем, что спин гравитона равен двум. Пусть 4-импульс частицы до испускания гравитона был p1, а после испускания p2. Тогда импульс гравитона равен q = p1 − p2. Если ввести обозначение p = p1 + p2, то вершина испускания гравитона будет иметь вид
где hαβ — волновая функция гравитона.
6.14. Взаимодействие гравитона с фотоном**. Особенно наглядно это видно на примере фотона, масса которого равна нулю. Экспериментально доказано, что когда фотон летит с нижнего этажа здания на верхний этаж, его импульс уменьшается под действием притяжения Земли. Доказано также, что луч света далёкой звезды отклоняется гравитационным притяжением Солнца.
6.15. Взаимодействие фотона с Землёй**. На рис. 6 показан обмен гравитонами между Землёй и фотоном. Этот рисунок условно представляет собой сумму рисунков гравитонных обменов фотона со всеми нуклонами Земли. На нём земная вершина получается из нуклонной умножением на число нуклонов в Земле NE c соответствующей заменой 4-импульса нуклона на 4-импульс Земли (см. рис. 3).

6.16. Взаимодействие гравитона с гравитоном***. Поскольку гравитоны несут энергию, они сами должны испускать и поглощать гравитоны. Отдельных реальных гравитонов мы не видели и никогда не увидим. Тем не менее взаимодействие между виртуальными гравитонами приводит к наблюдаемым эффектам. На первый взгляд вклад трёх виртуальных гравитонов в гравитационное взаимодействие двух нуклонов слишком мал, чтобы его можно было обнаружить (см. рис. 7).

6.17. Вековая прецессия Меркурия**. Однако этот вклад проявляется в прецессии перигелия орбиты Меркурия. Вековая прецессия Меркурия описывается суммой однопетлевых гравитонных диаграмм притяжения Меркурия к Солнцу (рис. 8).
6.18. Коэффициент усиления для Меркурия**. Отношение масс Меркурия и Земли равно 0,055. Так что число нуклонов в Меркурии NM = 0,055 NE = 2·1050. Масса Солнца MS = 2·1033 г. Так что число нуклонов в Солнце NS = NAMS = 1,2·1057. А число диаграмм, описывающих гравитационное взаимодействие нуклонов Меркурия и Солнца, NdM = 2,4·10107.
Если потенциальная энергия притяжения Меркурия к Солнцу равна U = GMS MM/r, то после учёта обсуждаемой поправки на взаимодействие виртуальных гравитонов друг с другом она умножается на коэффициент 1 − 3GMS/r. Мы видим, что поправка к потенциальной энергии составляет −3G2MS2 MM/r2.
6.19. Орбита Меркурия**. Радиус орбиты Меркурия a = 58·106 км. Период обращения 88 земных суток. Эксцентриситет орбиты e = 0,21. Из-за обсуждаемой поправки за один оборот большая полуось орбиты поворачивается на угол 6πGMS/a(1 − e2), т. е. порядка одной десятой угловой секунды, а за 100 земных лет поворачивается на 43''.
6.20. Гравитационный лэмбовский сдвиг**. Всякий, кто изучал квантовую электродинамику, сразу увидит, что диаграмма рис. 7 похожа на треугольную диаграмму, описывающую сдвиг частоты (энергии) уровня 2S1/2 относительно уровня 2P1/2 в атоме водорода (там треугольник состоит из одной фотонной и двух электронных линий). Этот сдвиг измерили в 1947 г. Лэмб и Ризерфорд и установили, что он равен 1060 МГц (1,06 ГГц).
Это измерение положило начало цепной реакции теоретических и экспериментальных работ, приведших к созданию квантовой электродинамики и фейнмановских диаграмм. Частота прецессии Меркурия на 25 порядков меньше.
6.21. Классический или квантовый эффект?**. Хорошо известно, что лэмбовский сдвиг энергии уровня — это чисто квантовый эффект, в то время как прецессия Меркурия — чисто классический эффект. Каким образом могут они описываться похожими фейнмановскими диаграммами?
Чтобы ответить на этот вопрос, надо вспомнить соотношение E = ħω и учесть, что преобразование Фурье при переходе от импульсного пространства к конфигурационному в разд. 6.8 содержит eiqr/ħ. Кроме того, следует учесть, что в электромагнитном треугольнике лэмбовского сдвига только одна линия безмассовой частицы (фотона), а две других — это пропагаторы электрона. Поэтому характерные расстояния в нём определяются массой электрона (комптоновской длиной волны электрона). А в треугольнике прецессии Меркурия имеются два пропагатора безмассовой частицы (гравитона). Это обстоятельство, обусловленное трёхгравитонной вершиной, и приводит к тому, что гравитационный треугольник даёт вклад на несравненно больших расстояниях, чем электромагнитный. В этом сравнении проявляется мощь квантовой теории поля в методе фейнмановских диаграмм, позволяющих просто понимать и рассчитывать широкий круг явлений, как квантовых, так и классических.
7.1. Электрическое взаимодействие. Электрическое взаимодействие частиц осуществляется обменом виртуальными фотонами, как на рис. 1, 9.

Фотоны, как и гравитоны, тоже безмассовые частицы. Так что электрическое взаимодействие тоже дальнодействующее:
Почему же оно не столь универсально, как гравитация?
7.2. Положительные и отрицательные заряды. Во-первых, потому, что существуют электрические заряды двух знаков. И во-вторых, потому, что существуют нейтральные частицы, которые вообще не имеют электрического заряда (нейтрон, нейтрино, фотон...). Частицы с зарядами противоположных знаков, как электрон и протон, притягиваются друг к другу. Частицы с одинаковыми зарядами отталкиваются. В результате атомы и состоящие из них тела в основном электронейтральны.
7.3. Нейтральные частицы. Нейтрон содержит u-кварк с зарядом +2e/3 и два d-кварка с зарядом −e/3. Так что суммарный заряд нейтрона равен нулю. (Напомним, что протон содержит два u-кварка и один d-кварк.) Истинно элементарными частицами, не имеющими электрического заряда, являются фотон, гравитон, нейтрино, Z-бозон и бозон Хиггса.
7.4. Кулоновский потенциал. Потенциальная энергия притяжения электрона и протона, находящихся на расстоянии r друг от друга, равна
7.5. Магнитное взаимодействие. Магнитное взаимодействие является не столь дальнодействующим, как электрическое. Оно спадает как 1/r3. Оно зависит не только от расстояния между двумя магнитами, но и от их взаимной ориентации. Хорошо известный пример — взаимодействие стрелки компаса с полем магнитного диполя Земли. Потенциальная энергия взаимодействия двух магнитных диполей μ1 и μ2 равна

где n = r/r.
7.6. Электромагнитное взаимодействие. Величайшим достижением XIX столетия было открытие того, что электрические и магнитные силы — это два различных проявления одной и той же электромагнитной силы. В 1821 г. М. Фарадей (1791–1867) исследовал взаимодействие магнита и проводника с током. Спустя десятилетие он установил законы электромагнитной индукции при взаимодействии двух проводников. В последующие годы он ввёл понятие электромагнитного поля и высказал идею об электромагнитной природе света. В 1870-х Дж. Максвелл (1831–1879) осознал, что электромагнитное взаимодействие ответственно за широкий класс оптических явлений: испускание, преобразование и поглощение света, и написал уравнения, описывающие электромагнитное поле. Вскоре Г. Герц (1857–1894) открыл радиоволны, а В. Рентген (1845–1923) — Х-лучи. Вся наша цивилизация основана на проявлениях электромагнитных взаимодействий.
7.7. Объединение теории относительности и квантовой механики. Важнейшим этапом в развитии физики был 1928 год, когда появилась статья П. Дирака (1902–1984), в которой он предложил квантовое и релятивистское уравнение для электрона. Это уравнение содержало магнитный момент электрона и указывало на существование античастицы электрона — позитрона, открытого через несколько лет. После этого квантовая механика и теория относительности объединились в квантовую теорию поля.
То, что электромагнитные взаимодействия вызваны испусканием и поглощением виртуальных фотонов, стало полностью ясно лишь в середине XX века с появлением диаграмм Фейнмана, т. е. после того, как чётко сформировалось понятие виртуальной частицы.
8.1. Ядерные взаимодействия. В начале XX века были открыты атом и его ядро и α-, β- и γ-лучи, испускаемые радиоактивными ядрами. Как оказалось, γ-лучи — это фотоны очень высокой энергии, β-лучи — это высокоэнергичные электроны, α-лучи — ядра гелия. Это привело к открытию двух новых типов взаимодействий — сильного и слабого. В отличие от гравитационного и электромагнитного взаимодействий, сильное и слабое взаимодействия являются короткодействующими.
В дальнейшем было установлено,что они ответственны за преобразование водорода в гелий в нашем Солнце и других звёздах.
8.2. Заряженные токи*. Слабое взаимодействие ответственно за превращение нейтрона в протон с испусканием электрона и электронного антинейтрино. В основе большого класса процессов слабого взаимодействия лежат превращения кварков одного типа в кварки другого типа с испусканием (или поглощением) виртуальных W-бозонов: u, c, t ↔ d, s, b. Аналогично при испускании и поглощении W-бозонов происходят переходы между заряженными лептонами и соответствующими нейтрино:
e ↔ νe, μ ↔ νμ, τ ↔ ντ. В равной степени происходят и переходы типа dˉu ↔ W и eˉνe ↔ W. Во всех этих переходах с участием W-бозонов участвуют так называемые заряженные токи, меняющие на единицу заряды лептонов и кварков. Слабое взаимодействие заряженных токов короткодействующее, оно описывается потенциалом Юкавы e−mWr/r, так что эффективный радиус у него r ≈ 1/mW.
8.3. Нейтральные токи*. В 1970-х годах были открыты процессы слабого взаимодействия нейтрино, электронов и нуклонов, обусловленные так называемыми нейтральными токами. В 1980-х годах было экспериментально установлено, что взаимодействия заряженных токов происходят путем обмена W-бозонами, а взаимодействия нейтральных токов — путём обмена Z-бозонами.
8.4. Нарушение P- и CP-чётности*. Во второй половине 1950-х годов было открыто нарушение пространственной чётности P и зарядовой чётности C в слабых взаимодействиях. В 1964 г. были открыты слабые распады, нарушающие сохранение CP-симметрии. В настоящее время механизм нарушения CP-симметрии изучается в распадах мезонов, содержащих b-кварки.
8.5. Осцилляции нейтрино*. Последние два десятилетия внимание физиков приковано к измерениям, проводимым на подземных килотонных детекторах в Камиока (Япония) и Садбери (Канада). Эти измерения показали, что между тремя сортами нейтрино νe, νμ, ντ происходят в вакууме взаимные переходы (осцилляции). Природа этих осцилляций выясняется.
8.6. Электрослабое взаимодействие. В 1960-х годах была сформулирована теория, согласно которой электромагнитное и слабое взаимодействия являются различными проявлениями единого электрослабого взаимодействия. Если бы имела место строгая электрослабая симметрия, то массы W- и Z-бозонов были бы равны нулю подобно массе фотона.
8.7. Нарушение электрослабой симметрии. В рамках Стандартной модели бозон Хиггса нарушает электрослабую симметрию и объясняет таким образом, почему фотон безмассов, а слабые бозоны массивны. Он же даёт массы лептонам, кваркам и самому себе.
8.8. Что надо узнать о хиггсе. Одной из основных задач Большого адронного коллайдера LHC является открытие бозона Хиггса (который называют просто хиггс и обозначают h или H) и последующее установление его свойств. В первую очередь измерение его взаимодействий с W- и Z-бозонами, с фотонами, а также его самовзаимодействия, т. е. изучение вершин, содержащих три и четыре хиггса: h3 и h4, и его взаимодействия с лептонами и кварками, особенно с топ-кварком. В рамках Стандартной модели для всех этих взаимодействий существуют чёткие предсказания. Их экспериментальная проверка представляет очень большой интерес с точки зрения поисков «новой физики» за пределами Стандартной модели.
8.9. А если хиггса нет? Если же окажется, что в интервале масс порядка нескольких сот ГэВ хиггс не существует, то это будет означать, что при энергиях выше ТэВ лежит новая, абсолютно неизведанная область, где взаимодействия W- и Z-бозонов становятся непертурбативно сильными, т. е. не могут описываться теорией возмущений. Исследования этой области принесут много сюрпризов.
8.10. Лептонные коллайдеры будущего. Для выполнения всей этой программы исследований в дополнение к LHC возможно придётся построить лептонные коллайдеры:
ILC (International Linear Collider) с энергией столкновения 0,5 ТэВ,
или CLIC (Compact Linear Collider) с энергией столкновения 1 ТэВ,
или MC (Muon Collider) с энергией столкновения 3 ТэВ.
8.11. Линейные электрон-позитронные коллайдеры. ILC — Международный линейный коллайдер, в котором должны сталкиваться электроны с позитронами, а также фотоны с фотонами. Решение о его строительстве может быть принято только после того, как станет ясно, существует ли хиггс и какова его масса. Одно из предлагаемых мест строительства ILC — окрестности Дубны. CLIC — Компактный линейный коллайдер электронов и позитронов. Проект разрабатывается в ЦЕРН.
8.12. Мюонный коллайдер. МС — Мюонный коллайдер был впервые задуман Г. И. Будкером (1918–1977). В 1999 г. в Сан-Франциско состоялась пятая Международная конференция «Физический потенциал и развитие мюонных коллайдеров и нейтринных фабрик». В настоящее время проект МС разрабатывается в Фермиевской национальной лаборатории и может быть осуществлён лет через 20.
9.1. Глюоны и кварки. Сильное взаимодействие держит нуклоны (протоны и нейтроны) внутри ядра. В его основе взаимодействие глюонов с кварками и взаимодействие глюонов с глюонами. Именно самодействие глюонов приводит к тому, что несмотря на то, что масса глюона равна нулю, так же, как равны нулю массы фотона и гравитона, обмен глюонами не приводит к глюонному дальнодействию, подобному фотонному и гравитонному. Более того, оно приводит к отсутствию свободных глюонов и кварков. Это обусловлено тем, что сумма одноглюонных обменов заменяется глюонной трубкой или нитью. Взаимодействие нуклонов в ядре подобно силам Ван-дер-Ваальса между нейтральными атомами.
9.2. Конфайнмент и асимптотическая свобода. Явление невылетания глюонов и кварков из адронов называют словом конфайнмент. Обратной стороной динамики, приводящей к конфайнменту является то, что на очень малых расстояниях глубоко внутри адронов взаимодействие между глюонами и кварками постепенно спадает. Кварки как бы становятся свободными на малых расстояниях. Это явление называют термином асимптотическая свобода.
9.3. Цвета кварков. Явление конфайнмента является следствием того, что каждый из шести кварков существует как бы в виде трех «цветовых» разновидностей. Кварки обычно «раскрашивают» в желтый, синий и красный цвета. Антикварки раскрашивают в дополнительные цвета: фиолетовый, оранжевый, зелёный. Всеми этими цветами обозначают своеобразные заряды кварков — «многомерные аналоги» электрического заряда, ответственные за сильные взаимодействия. Разумеется, никакой связи, кроме метафорической, между цветами кварков и обычными оптическими цветами нет.
9.4. Цвета глюонов. Ещё более многочисленно семейство цветных глюонов: их восемь, из которых два идентичны своим античастицам, а остальные шесть — нет. Взаимодействия цветовых зарядов описываются квантовой хромодинамикой и определяют свойства протона, нейтрона, всех атомных ядер и свойства всех адронов. То, что глюоны несут цветовые заряды, приводит к явлению конфайнмента глюонов и кварков, заключающегося в том, что цветные глюоны и кварки не могут вырваться из адронов. Ядерные силы между бесцветными (белыми) адронами представляют собой слабые отголоски могучих цветовых взаимодействий внутри адронов. Это похоже на малость молекулярных связей по сравнению с внутриатомными.
9.5. Массы адронов. Массы адронов вообще и нуклонов в частности обусловлены глюонным самодействием. Таким образом, масса всего видимого вещества, составляющего 4–5% энергии Вселенной, обусловлена именно самодействием глюонов.
10.1. 18 частиц Стандартной модели. Все известные фундаментальные частицы естественно распадаются на три группы:
6 лептонов (спин 1/2):
3 нейтрино: νe, νμ, ντ;
3 заряженных лептона: e, μ, τ;
6 кварков (спин 1/2):
u, c, t,
d, s, b;
6 бозонов:
g̃ — гравитон (спин 2),
γ, W, Z, g — глюоны (спин 1),
h — хиггс (спин 0).
10.2. За пределами Стандартной модели. 96% энергии Вселенной находится за пределами Стандартной модели и ждёт своего открытия и изучения. Есть несколько основных предположений о том, как может выглядеть новая физика (см. Ниже пункты 10.3–10.6).
10.3. Великое объединение. Объединению сильного и электрослабого взаимодействия посвящено огромное число работ, в основном теоретических. В большинстве из них предполагается, что оно происходит при энергиях порядка 1016 ГэВ. Такое объединение должно приводить к распаду протона.
10.4. Суперсимметричные частицы. Согласно идее суперсимметрии, впервые зародившейся в ФИАН, у каждой «нашей» частицы есть суперпартнер, спин которого отличается на 1/2: 6 скварков и 6 слептонов со спином 0, хиггсино, фотино, вино и зино со спином 1/2, гравитино со спином 3/2. Массы этих суперпартнёров должны быть существенно больше, чем у наших частиц. Иначе их давно бы открыли. Некоторые из суперпартнёров, возможно, будут открыты, когда заработает Большой адронный коллайдер.
10.5. Суперструны. Развивает гипотезу о суперсимметрии гипотеза о существовании суперструн, которые живут на очень малых расстояниях порядка 10−33 см и отвечающих им энергиях 1019 ГэВ. Многие физики-теоретики надеются, что именно на основе представлений о суперструнах удастся построить единую теорию всех взаимодействий, не содержащую свободных параметров.
10.6. Зеркальные частицы. Согласно идее о зеркальной материи, впервые зародившейся в ИТЭФ, у каждой нашей частицы есть зеркальный двойник, и существует зеркальный мир, который только очень слабо связан с нашим миром.
10.7. Тёмная материя. Только 4–5% всей энергии во Вселенной существует в виде массы обычного вещества. Порядка 20% энергии вселенной заключено в так называемой тёмной материи, состоящей, как думают, из суперчастиц, или зеркальных частиц, или каких-то других неизвестных частиц. Если частицы тёмной материи гораздо тяжелее обычных частиц и если, сталкиваясь друг с другом в космосе, они аннигилируют в обычные фотоны, то эти фотоны высокой энергии могут быть зарегистрированы специальными детекторами в космосе и на Земле. Выяснение природы тёмной материи является одной из основных задач физики.
10.8. Тёмная энергия. Но подавляющая часть энергии Вселенной (порядка 75%), обусловлена так называемой тёмной энергией. Она «разлита» по вакууму и расталкивает скопления галактик. Ее природа пока непонятна.
11.1. Указ Президента РФ. 30 сентября 2009 г. был издан Указ Президента РФ «О дополнительных мерах по реализации пилотного проекта по созданию Национального исследовательского центра “Курчатовский институт”». Указ предусматривает участие в проекте следующих организаций: Петербургского института ядерной физики, Института физики высоких энергий и Института теоретической и экспериментальной физики. Указ предусматривает также «включение указанного учреждения, как наиболее значимого учреждения науки, в ведомственную структуру расходов федерального бюджета в качестве главного распорядителя бюджетных средств». Этот Указ может способствовать возвращению физики элементарных частиц в число приоритетных направлений развития науки в нашей стране.
11.2. Слушания в Конгрессе США 1. 1 октября 2009 г. состоялись слушания в подкомитете по энергии и окружающей среде комитета по науке и технологии Палаты представителей США по теме «Исследования природы материи, энергии, пространства и времени». Ассигнования Департамента энергии на эту программу в 2009 г. составляют 795,7 млн долларов. Профессор Гарвардского университета Лиза Рендалл изложила взгляды на материю, энергию и происхождение Вселенной с точки зрения будущей теории струн. Директор Фермиевской национальной лаборатории (Батавия) Пьер Оддоне рассказал о состоянии физики частиц в США, и в частности, о предстоящем завершении работы Тэватрона и начале совместной работы ФНАЛ и подземной лаборатории DUSEL по изучению свойств нейтрино и редких процессов. Он подчеркнул важность участия американских физиков в проектах по физике высоких энергий в Европе (LHC), Японии (JPARC), Китае (ВЕРС) и международном космическом проекте (GLAST, названном недавно именем Ферми).
11.3. Слушания в Конгрессе США 2. Директор Национальной Лаборатории имени Джеферсона Хью Монтгомери говорил о вкладе этой Лаборатории в ядерную физику, в ускорительные технологии и в образовательные программы. Директор научного отдела по физике высоких энергий Департамента энергии Деннис Ковар рассказал о трёх основных направлениях по физике высоких энергий:
1) ускорительные исследования при максимальных энергиях,
2) ускорительные исследования при максимальных интенсивностях,
3) наземные и спутниковые исследования космоса с целью выяснения природы тёмной материи и тёмной энергии,
и трёх основных направлениях по ядерной физике:
1) изучение сильных взаимодействий кварков и глюонов,
2) изучение того, как из протонов и нейтронов образовались атомные ядра,
3) изучение слабых взаимодействий с участием нейтрино.
12.1. Что такое фундаментальная наука. Из изложенного выше текста ясно, что я, как и большинство научных работников, называю фундаментальной наукой ту часть науки, которая устанавливает наиболее фундаментальные законы природы. Эти законы лежат в фундаменте пирамиды науки или отдельных её этажей. Они определяют долговременное развитие цивилизации. Существуют, однако, люди, которые фундаментальной наукой называют те разделы науки, которые оказывают наибольшее непосредственное влияние на сиюминутные достижения в развитии цивилизации. Мне лично кажется, что эти разделы и направления лучше называть прикладной наукой.
12.2. Корни и плоды. Если фундаментальную науку можно сравнить с корнями дерева, то прикладную можно сравнить с его плодами. Такие важнейшие технологические прорывы, как создание мобильных телефонов или оптоволоконной связи, это плоды науки.
12.3. А. И. Герцен о науке. В 1845 г. Александр Иванович Герцен (1812–1870) опубликовал в журнале «Отечественные записки» замечательные «Письма об изучении природы». В конце первого письма он написал: «Наука кажется трудною не потому, чтоб она была в самом деле трудна, а потому, что иначе не дойдёшь до её простоты, как пробившись сквозь тьму тем готовых понятий, мешающих прямо видеть. Пусть входящие вперёд знают, что весь арсенал ржавых и негодных орудий, доставшихся нам по наследству от схоластики, негоден, что надобно пожертвовать вне науки составленными воззрениями, что, не отбросив все полулжи, которыми для понятности облекают полуистины, нельзя войти в науку, нельзя дойти до целой истины».
12.4. О сокращении школьных программ. Современные программы по физике в школе вполне могут включить в себя активное владение элементами теории элементарных частиц, теории относительности и квантовой механики, если сократить в них те разделы, которые имеют в основном описательный характер и увеличивают «эрудицию» ребенка, а не понимание окружающего мира и умение жить и творить.
12.5. Заключение. Было бы правильно, чтобы Президиум РАН отметил важность раннего приобщения молодёжи к мировоззрению, основанному на достижениях теории относительности и квантовой механики, и поручил Комиссиям Президиума РАН по учебникам (председатель — вице-президент В.В. Козлов) и по образованию (председатель — вице-президент В. А. Садовничий) подготовить предложения по совершенствованию преподавания современной фундаментальной физики в средней и высшей школе.